絶対分布図は、絶対値を地図化したものであり、相対分布図は、1人あたりや単位面積当たりなどの相対値を地図化したものである。 絶対分布図には、ドットマップ、等値線図、図形表現図、流線図、カルトグラムなどがある。 相対分布図には、階級区分図 (コロプレスマップ)やメッシュマップがある。 ※メッシュマップは絶対分布図として使われることもある。 この記事が参加している募集. 地理がすき. #データ. #今こそ学びたいこと. #地理がすき. #地理総合. 統計地図とは、人口や農業生産量などの統計データ、気温や降水量などの観測データを地図上に表した主題図のことである。 統計地図は大きく分けて2つあり、絶対分布図と相対分布図に大別される。. 高校「地理B」の授業解説動画。. 「さまざまな地図と地理的技能」の第6回。. 地理情報を地図化する方法として、絶対分布図・相対分布図につい.
3回の試験のばらつきの比較
正規分布とは?表の見方や計算問題をわかりやすく解説! 受験辞典
絶対にわかる確率変数と確率分布と確率密度【統計学入門18】
分散とは?公式や求め方、計算問題をわかりやすく解説! 受験辞典
統計分析を理解しよう:正規分布、標準化、標準正規分布の概念 ニッセイ基礎研究所
度数分布表,ヒストグラム 統計ブログ
【徹底解説】対数正規分布とは Academaid
二項分布とは?期待値・分散の計算や、正規分布による近似 受験辞典
主題図 高校地理の部屋
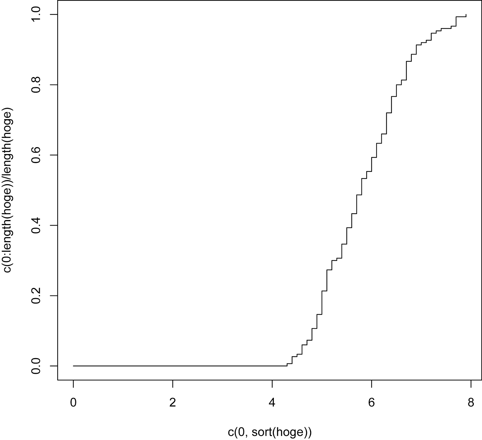
R で累積相対度数分布 (累積分布関数) を描く方法 eTOM everything on Mac
度数分布表とヒストグラム
相関係数 r とは?公式と求め方、相関の強さの目安を解説! 受験辞典
「絶対分布図」と「相対分布図」の違いとは?分かりやすく解釈 違い比較辞典
分布を比較する Project Blog
累積 相対 度数 求め 方 🤔 度数、累積度数、累積相対度数の意味と計算例
度数分布表の読み方と作り方、代表値の求め方を徹底解説! 受験辞典
平均の分布 Myfhub
1から始める研究〜標準偏差と標準誤差の違い、イメージで理解しよう!~ | XPERT
使える!統計講座 【深瀬勝範】 第5回 給与水準を調べる⑤ ~度数分布図を作ってみよう~|人事のための課題解決サイト|jinjour(ジンジュール)
平均値と中央値の違い〜標準偏差?四分位範囲?〜 | 気楽な看護/リハビリLife
上から、 〔 〕分布図:そのものの絶対量や比率を、某の長さ、点・円・球 などの個数や大きさを表す 長所:性格な分布量がすぐわかり、地域間の比率等がしやすい 短所:点・円等の記号の大きさは分布面積と無関係で、面積当.. 「絶対分布図」あるいは「相対分布図」という区分は、地図に表す数量が、観測(調査)したそのままの形(絶対数量)であるのか、それともあらかじめ何らかの形で相対化したものなのか、ということで決まります。 上記の数量の「相対化」は主に二つに分けることができて、一つは集計地域(市町村や都道府県など)の面積で割る方法(人口密度など)、もう一つは面積以外の他の数量で割って相対化する方法(高齢者の数を人口総数で割って高齢化率、農地面積を農家数で割って”農家一戸当たり農地面積”とする場合など)です。 ・・・ですから、相対化した後の数値をカルトグラムとして表現すれば、それは相対分布図に位置づけられることになります。


